📄 01 - SET-1 (TDS problems) Part 1, p.1
⭐ Basic Concepts
- Speed = Distance / Time
- Distance = Speed × Time
- Time = Distance / Speed
📌 2) Relationships Between Speed, Distance, and Time
- When Speed is constant, Distance and Time are Directly Proportional
→ D = S × T (or) T = D / S - When Distance is constant, Speed and Time are Inversely Proportional
→ T = D / S (or) S = D / T - When Time is constant, Distance and Speed are Directly Proportional
→ D = S × T (or) S = D / T
📌 3) Rules for Unit Conversion
- To convert from a larger unit to a smaller unit, use a fraction with a smaller numerator
→ (e.g., km/h to m/s → multiply by 5/18). - To convert from a smaller unit to a larger unit, use a fraction with a larger numerator
→ (e.g., m/s to km/h → multiply by 18/5)
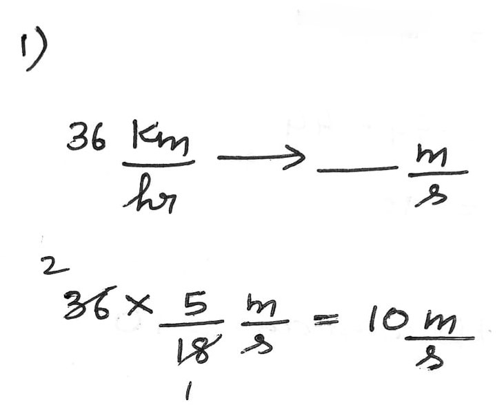
Express the speed of 36 kilometers per hour in meters per second.
(A) 10
(B) 12
(C) 14
(D) 17
- To convert from a larger unit to a smaller unit, use a fraction with a smaller numerator (e.g., km/h to m/s → multiply by 5/18).

Express 25 meters per second in kilometers per hour.
(A) 15
(B) 99
(C) 90
(D) NOTA
- To convert from a smaller unit to a larger unit, use a fraction with a larger numerator (e.g., m/s to km/h → multiply by 18/5).

Speed of train is 90 kmph. What is the distance (D = ?) covered by it in 10 minutes?
(A) 15 km
(B) 12 km
(C) 10 km
(D) 56 km
- Use the Chain Rule to relate Time and Distance proportionally using Speed, and calculate the unknown Distance.

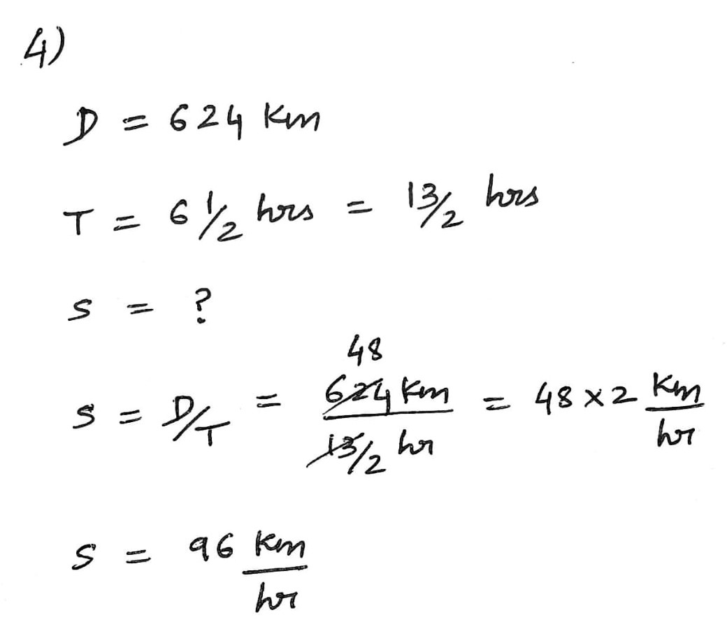
A car covers a distance of 624 km in 6 1/2 hours. Find its speed.
(A) 96 kmph
(B) 104 kmph
(C) 10.4 kmph
(D) 9.6 kmph

In what time will a railway train 60 m long moving at the rate of 36 kmph pass a telegraph post on its way?
(A) 9 secs
(B) 8 secs
(C) 7 secs
(D) 6 secs

A train 360 m long is running at the speed of 45 km/hr. In what time will it pass a bridge 140 m long?
(A) 40 secs
(B) 42 secs
(C) 45 secs
(D) 48 secs

The speed of the three cars are in the ratio 2:3:4. The ratio of the time taken by these cars to travel the same distance is:
(A) 2:3:4
(B) 4:3:2
(C) 4:3:6
(D) 6:4:3
- If the question has multiple Speed values or Time values along with the "Same Distance" keyword, assume the Distance to be the LCM of those Speeds or Times. This is because, according to the formula D = S × T, the Distance must be a common multiple of the given Speeds or Times.
- Inversing the Speed Ratio to find Time Ratio works only for two Ratios. For three Ratios, you must first calculate the Distance value from the Speed Ratios, and then find out the Time Ratio from the Distance value and the Speed Ratios.

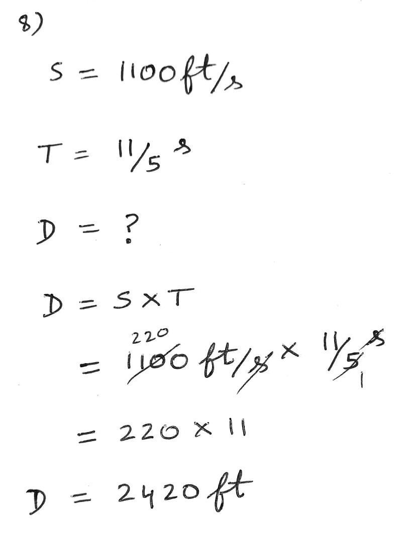
Sound is said to travel in air at about 1100 feet per second. A man hears the axe striking the tree, 11/5 second after he sees it strike the tree. How far is the man from the wood chopper (in feet)?
(A) 2420
(B) 2524
(C) 2600
(D) 2740

A man in a train notices that he can count 41 telephone posts in one minute. If they are known to be 50 meters apart, then at what speed is the train traveling in kmph?
(A) 60
(B) 100
(C) 123
(D) 120

Two cars cover the same distance at 60 kmph and 64 kmph respectively. Find the distance traveled by them if the slower car takes 1 hour more than the faster car.
(A) 906 kms
(B) 960 kms
(C) 961 kms
(D) 966 kms
- If the question has the keyword "Same/Equal/Identical", start the sum by equating the corresponding quantities.
